Progress pill
Bitcoin Fundamentals

Bitcoin's Governance Model

Peter Todd
Peter Todd

Bitcoin Development Fundamentals

Bitcoin's Governance Model

  • Nature of Bitcoin
  • Examples of governance
  • Block size debate
  • Forced changes and majority rule

Nature of Bitcoin

Bitcoin is a digital currency that operates on a consensus protocol, a set of rules agreed upon by the network participants to ensure uniformity and functionality. At its core, Bitcoin is a decentralized ledger known as a blockchain, where transactions are recorded and verified by network nodes. Full nodes, which store the entire history of the Bitcoin blockchain, play a crucial role in maintaining the integrity of this ledger. Other types of nodes, such as archival nodes, pruned nodes, and SPV (Simplified Payment Verification) nodes, also contribute to the network in various ways. The consensus protocol ensures that all these nodes agree on the state of the blockchain, making Bitcoin robust against censorship and fraud.

Preventing changes

Governance in Bitcoin is vital to prevent arbitrary or malicious changes to the protocol. This is achieved through a consensus mechanism that requires broad agreement among the community. Developers with programming knowledge play a significant role in proposing changes, but these changes must be accepted by the wider community to be implemented.
Bitcoin Core and alternate implementations have maintainers who oversee the development and upkeep of the software. These maintainers are responsible for merging code changes, ensuring that they adhere to the consensus rules and do not introduce vulnerabilities.

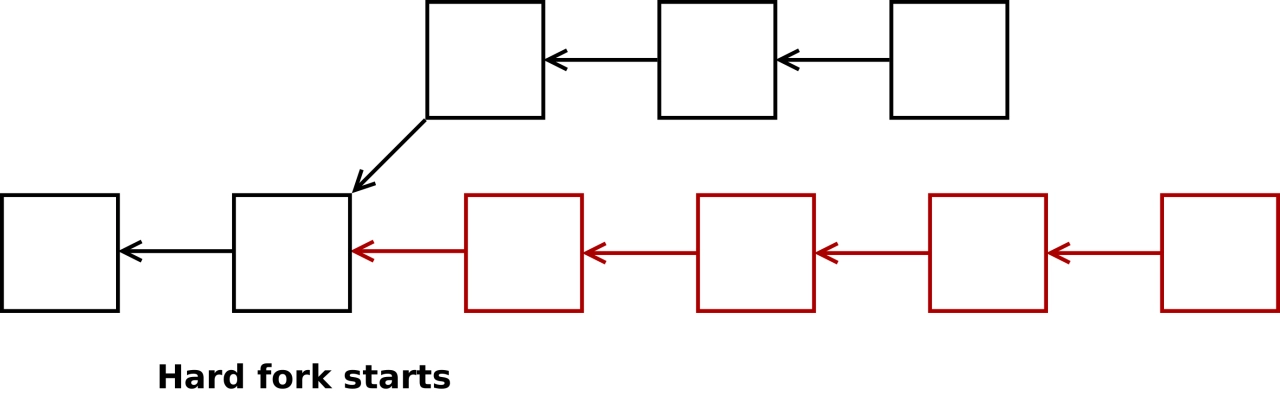
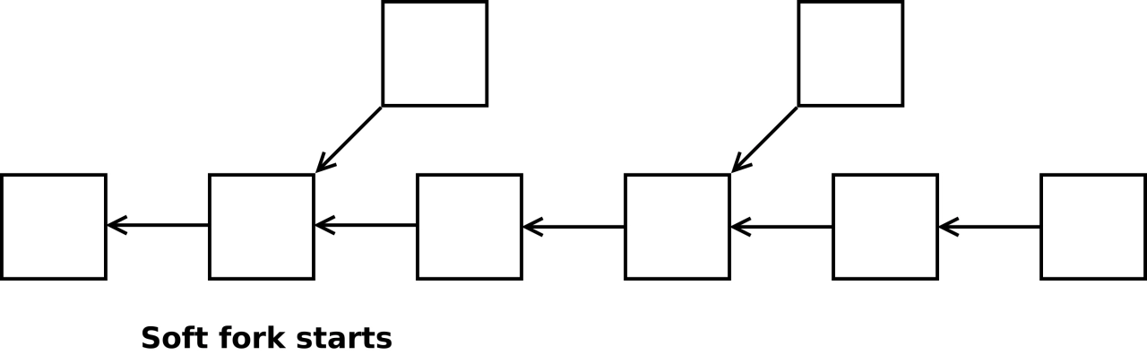
Soft forks vs hard forks

Soft forks are changes that tighten the existing rules of the Bitcoin protocol, making some previously valid transactions invalid. They are backward-compatible, meaning that non-upgraded nodes will still recognize the new rules. An example of a soft fork is the fix for the overflow bug in 2010, which prevented the creation of money out of thin air.
Hard forks are changes that loosen the existing rules, allowing new types of transactions. These are not backward-compatible, meaning that non-upgraded nodes will not recognize the new rules. An example of a hard fork might be needed for the Year 2106 problem to ensure Bitcoin continues functioning beyond this date.

Examples of governance

Several real-world examples illustrate Bitcoin's governance in action. The overflow bug fix in 2010 was a soft fork that addressed a critical flaw. The Year 2106 problem will likely require a hard fork to address its implications. The transition from the longest chain to the most work chain reflects a significant governance decision that affected how consensus is achieved.
Bitcoin's governance also addresses real-world changes in the protocol's usage. For instance, the introduction of ordinals and inscriptions illustrates how protocol changes can fail to censor transactions. Similarly, the implementation of Full RBF (Replace-By-Fee) altered transaction replacement procedures without changing consensus rules.

Motivations for change and consensus

Changes to Bitcoin can be driven by various motivations, such as fixing critical bugs, introducing new features, or limiting changes due to economic or political reasons. These motivations often lead to debates within the community about what constitutes a bug versus a feature and the overall impact on the network.
Bitcoin's consensus mechanism makes it inherently political, requiring broad agreement for changes to be accepted. This political aspect is crucial for maintaining the network's decentralized nature and ensuring that any modifications are in the community's best interest.
Running nodes can validate Bitcoin rules and participate in the network, even with different communication protocols like Blockstream Satellite. This highlights the separation between Bitcoin's consensus mechanism and the data communication methods used by the network. The economic significance of nodes, particularly those run by large entities like Binance, can influence the adoption of changes. These entities have substantial economic interests in the network and can sway decisions by running influential nodes.

Block size debate

The block size debate was a significant governance issue, revolving around whether to increase Bitcoin's block size. This controversy was resolved with the implementation of SegWit, a soft fork that increased the effective block size and enabled the Lightning Network.

Forced changes and majority rule

There have been legal attempts to compel Bitcoin developers to alter the blockchain rules for personal benefit, such as lawsuits by Craig Wright. These attempts highlight the challenges and ethical considerations involved in Bitcoin governance.
In Bitcoin, majority rule plays a vital role. If 60% of miners adopt a new rule, their blocks will be rejected by those running the original Bitcoin Core, leading to a split. An example of a failed hard fork due to lack of community support is Bitcoin Satoshi's Vision (BSV).
Let's briefly review some important concepts.
Forced soft fork: The concept of implementing restrictive rules to change Bitcoin can lead to further splits and governance issues. This approach illustrates the complexities and potential conflicts within the Bitcoin community.
51% attack: A 51% attack describes a scenario where a majority of hashing power could attack Bitcoin by mining empty blocks. This could effectively kill the network unless the community adopts new consensus rules to address the attack.
Check-Lock-Time-Verify (CLTV): Check-Lock-Time-Verify (CLTV) is an example of a governance change implemented as a soft fork. CLTV ensures that transactions are only valid after a certain time, which is useful for payment channels and backup keys. This change tightened the rules using an opcode that previously did nothing.
In conclusion, Bitcoin's future and changes are determined by the collective will of its users. Significant changes require broad consensus, reflecting the decentralized and political nature of Bitcoin's governance.